Skip to main content Skip to secondary navigation
Main content start

Probing the Accretion onto Supermassive Black Holes with X-ray Reverberation

Supermassive black holes (SMBHs) are millions to billions of times more massive than the sun. How SMBHs work is one of the key questions in astrophysics because they test the behavior of matter in strong gravitational fields, and their growth is strongly connected to how galaxies themselves evolve. Their X-ray emission can unveil the structure of the SMBH system.
Zhefu Yu

Supermassive black holes (SMBHs), which are millions to billions of times more massive than the sun, commonly reside at the centers of almost all galaxies that are as massive as the Milky Way Galaxy. Despite this commonality, how SMBHs grow over the history of the Universe is one of the key questions in astrophysics. Their growth provides a special laboratory to study the behavior of matter in strong gravitational fields, and observations suggest that their growth is strongly connected to how galaxies themselves evolve. 

One challenge is that we cannot see a black hole directly: once matter and light cross a boundary called the event horizon, they cannot escape. In nearby galaxies, astronomers can still infer the presence of a SMBH by measuring the orbits of the surrounding stars (e.g., Ghez et al. 2008). However, for more distant galaxies (over ~60 million light-years), the galactic center becomes too small to resolve with current telescopes.

Fortunately, there is another powerful way to study SMBHs: we can watch them as they are being “fed.” In some galaxies, the central black hole is actively growing by pulling in surrounding gas. These energetic centers are called active galactic nuclei (AGNs). The gas forms an accretion disk around the black hole as it spirals inward. The friction of the gas makes the disk extremely hot and bright, producing emission with a continuous spectrum (“continuum,” meaning that it emits light over a wide range of wavelengths or colors) that usually outshines the billions of stars in the host galaxy. Even so, an accretion disk around a distant black hole is far too small to be resolved directly by our telescopes, so we need to probe it using other indirect clues. An important approach to filling this gap in our knowledge is the X-ray emission. In this blog, I will talk about how we can use the spectrum and timing properties of the AGN X-ray emission to unveil the structure of the accretion disk. 

Figure 1: An artist’s picture of an AGN. The gas forms an accretion disk around the black hole before falling into it. The accretion disk is extremely bright and is the major engine that powers the AGN. (Image credit: Tara Dacunha)

X-ray emission from an AGN

AGN X-rays originate from more than one physical process. One major source is a region of extremely hot electrons near the black hole called the corona (see Figure 3). The continuum photons from the accretion disk in the ultraviolet (UV) and optical bands can steal energy from these high energy electrons and get “boosted” up to X-ray energies. This energy-boosting process is called inverse Compton scattering (also known as Compton upscattering), and it produces a smooth X-ray continuum spectrum.

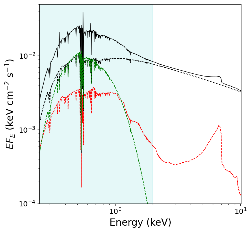
Some of those coronal X-rays shine back onto the accretion disk and reflect off it. This reflection creates a second, distinct component of the X-ray spectrum (red dashed line in Figure 2). By modeling the direct coronal emission and disk reflection, we can infer key properties of the system, such as the inclination of the disk and the spin of the black hole (which affects the general relativistic effect on the X-ray photons and therefore the spectral shape). One feature of the reflection spectrum is extra emission at soft X-ray bands (photon energy below about 2 keV, see Figure 2), which provides an explanation of the observed “soft excess” in the X-ray spectrum of AGN. However, previous studies found that the soft excess in some AGNs cannot be solely explained by the disk reflection, especially for AGNs that accrete rapidly.

Figure 2: Spectral model of an XMM-Newton observation of Ark 564. The solid black curve is the total model, while the dashed curves show the individual model components: coronal emission (black dashed), disk reflection (red dashed), and emission from a warm atmosphere (green dashed; a warm layer above the disk that boosts disk light into soft X-rays via inverse Compton scattering). The cyan shaded band highlights 0.3 – 2 keV, a range commonly referred to as the soft X-ray band, where the “soft excess” is often seen in AGNs.

X-ray emissions from an AGN also do not stay constant over time; instead, they sometimes show strong temporal variability. This variability encodes important physical information. The X-ray variability is thought to originate from fluctuations in the corona.  The change of the X-ray reflection lags behind the change of the corona because the light takes time to travel from the corona to the disk, where it reflects. In other words, the variation of the reflection echoes the coronal variation after a time lag, which is called X-ray “reverberation.” The reverberation lag is governed by the light travel trajectory in the curved spacetime from the corona to the disk, thereby encoding critical information on the black hole spin and the structure of both the corona and the disk.

Figure 3: Illustration of a thin disk (upper panel) and a slim disk (lower panel) illuminated by a hot X-ray corona. In the slim disk regime, the puffed-up inner disk can shield the outer disk from coronal illumination when the corona is located down in the “funnel.” A warm atmosphere may exist at the disk surface, which upscatters the UV photons from the disk to soft-X-ray photons, labeled “warm Compton.” (Image credit: Tara Dacunha)

X-ray reverberation study of Ark 564

In our recent work, we carried out a joint spectral and reverberation study of the nearby AGN Ark 564 using long-term X-ray observations. Ark 564 is especially interesting because it is growing very efficiently in mass. It is also one of the brightest AGNs in the soft X-ray band, which makes it ideal for detailed timing studies.

Conventionally, AGN accretion disks are thought to be geometrically thin (see the upper panel of Figure 3). However, our study shows that the accretion disk of Ark 564 differs from the conventional picture. Firstly, Ark 564 has a “slim disk”, which is a thicker inner disk expected when the black hole is accreting at a very high rate (see the lower panel of Figure 3). This is supported by the fact that the reverberation lag strongly disagrees with the standard thin disk scenario when Ark 564 is in a bright state. Instead, if the corona sits deep inside the funnel-like region, the puffed-up disk can block some coronal X-rays from reaching the outer disk, making the pattern of echoes more consistent with what we observe. 

Secondly, we found an additional layer of “warm atmosphere” above the disk surface (blue shaded region in the lower panel of Figure 3). Like the hot corona, this warm layer can upscatter UV photons via inverse Compton scattering, but because it is cooler than the corona, it mainly produces soft X-rays (while the corona produces a flatter spectrum with a substantial fraction of hard X-ray photons). This explains the exceptionally strong soft X-ray emission of Ark 564. Our study is a pioneering work that provides evidence of a warm atmosphere and a slim disk in an AGN using both X-ray spectral and reverberation analysis. In the future, we plan to apply this technique to other rapidly growing AGNs like Ark 564, which will help us form a more comprehensive understanding of the accretion disk of AGNs and the growth of SMBHs.

Edited by Xinnan Du, Josephine Wong, Lori Ann White, and Jack Dinsmore.

Related Research Areas

We at KIPAC have an active Compact Object Group Meeting (COG) which meets Tuesdays to discuss progress in extreme astrophysics.
At KIPAC, we are working to understand the physics that shapes the origins, evolution and fate of the Universe.

Related People

Professor of Physics and of Particle Physics and Astrophysics

More News Topics

More News